|
Product Name |
CAS No. |
|
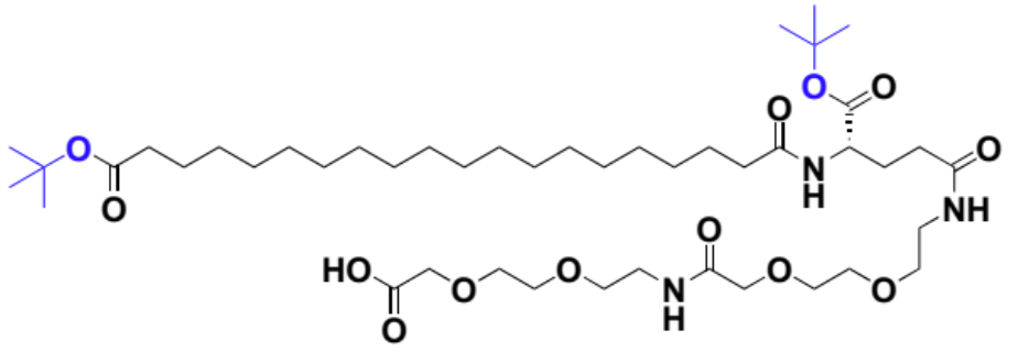
C20-OtBu-Glu(OtBu)-AEEA-AEEA-OH |
1188328-37-1 |
Product Name (品名): 替尔泊肽中间体 Tirzepatide Intermediate | C20-OtBu-Glu(OtBu)-AEEA-AEEA-OH 替尔泊肽中间体 |
| Appearance | yellowish |
Molecular Formula (分子式): | C45H83N3O13 |
Molecular Weight (分子量): | 874.15 |
| Purity (纯度): | 98% |
| Storage | store at 2-8°C |
Contact Telephone (联系电话): | 023-677770219 |
Contact | Sales Department |
Contact Email: | sales@chemieliva.com |
| Tirzepatide Main use | Tirzepatide is a glucagon-like peptide-1 (GLP-1) receptor agonist, a class of medications that mimics the action of the natural GLP-1 hormone in the human body. It exerts therapeutic effects by regulating blood glucose metabolism, suppressing appetite, and reducing food intake, and is clinically used for two major indications, with clear curative effects and extensive application. 1. Treatment of type 2 diabetes mellitus 2. Chronic weight management in adults |
Structure (结构式):
| |
司美格鲁肽及中间体 || Semaglutide & Its intermediates
| Product Name | CAS No.: | Purity |
| tBuO-Ste-Glu(AEEA-AEEA-OH)OtBu | 1118767-16-0 | 99% |
Octa(OtBu)-Glu(AEEA-AEEA-OSu)-OtBu | 1118767-15-9 | 99% |
HO-STE-GLU(AEEA-AEEA-OSU)-OH | 1169630-40-3 | 99% |
Fmoc-L-Lys[Oct-(otBu)-Glu-(otBu)-AEEA-AEEA]-OH | 1662688-20-1 | 99% |
| Fmoc-His(Trt)-Aib-OH | 1446013-13-3 | 99% |
| Fmoc-Glu(OtBu)-Gly-OH | 866044-63-5 | 99% |
| Fmoc-Thr(tBu)-Phe-OH | 1260592-34-4 | 99% |
| Fmoc-Gly-Arg(Pbf)-OH | 1048377-78-1 | 99% |
| Fmoc-Arg(Pbf)-Gly-OH | 660846-80-0 | 99% |
| Fmoc-Ala-Ala-OH | 87512-31-0 | 99% |
| Boc-His(Trt)-Aib-OH | 2061897-68-3 | 99% |
| Boc-his(trt)-aib-glu(otbu)-gly-OH | 1890228-73-5 | 99% |
| Fmoc-L-Thr(tBu)-Phe-OH | 1962160-86-6 | 99% |
| Semaglutide | 910463-68-2 | 99% |
替尔泊肽及中间体 || Tirzepatide & Its intermediates
| C20-Otbu-glu-otbu | 1119061-70-9 | 99% |
| C20-OtBu-Glu(OtBu)-AEEA-AEEA-OH | 1188328-37-1 | 99% |
| C20-OtBu-Glu(OtBu)-AEEA-AEEA-OSU | 1118767-17-1 | 99% |
| Fmoc-L-Lys[C20-OtBu-Glu(OtBu)-AEEA-AEE A]-OH | 2915356-76-0 | 99% |
| Fmoc-L-Lys[C20-OtBu-Glu(OtBu)-AEEA-AEE A]-OH | 2460751-66-8 | 99% |
| Boc-Tyr(tBu)-Aib-OH | 2639221-78-4 | 99% |
| Fmoc-Ile-Aib-OH | 2171139-20-9 | 99% |
| Boc-tyr(tbu)-aib-glu(otbu)-gly-OH | 2682040-93-1 | 99% |
| Boc-D-Tyr(tBu)-OH | 507276-74-6 | 99% |
| Fmoc-D-Glu(OtBu)-OH | 104091-08-9 | 99% |
| Fmoc-Thr(tBu)-SerPsi(Me, Me)Pro-OH | 1425938 -63-1 | 99% |
| Fmoc-Glu(OtBu)-Gly-OH | 866044-63-5 | 99% |
Tirzepatide | 2023788-19-2 | 99% |
GLP-1 API
| Cagrilintide | 卡格列肽 | 1415456-99-3 | 99% |
| Mazdutide | 玛仕度肽 | 2259884-03-0 | 99% |
| Dulaglutide | 杜拉鲁肽 | 923950-08-7 | 99% |
| Liraglutide | 利拉鲁肽 | 204656-20-2 | 99% |
| Survodutide | 司韦度肽 | 2805997-46-8 | 99% |
| Retatrutide | 瑞他鲁肽 | 2381089-83-2 | 99% |
| PF-06882961 | 2230198-02-2 | 99% |
| Albiglutide | 阿必鲁肽 | 782500-75-8 | 99% |
| Teduglutide | 替度鲁肽 | 197922-42-2 | 99% |
| Etelcalcetide | 依特卡肽 | 1262780-97-1 | 99% |
| Plecanatide | 普卡那肽 | 467426-54-6 | 99% |
| LixisenatideAcetate | 利西拉来 | 320367-13-3 | 99% |
Key Words:
2915356-76-0 ||Chemieliva Pharmaceutical Co., Ltd || 重庆福腾医药|| 2915356-76-0 seller || 2915356-76-0 supplier || 2915356-76-0 manufacturer || 2915356-76-0 producer || 2915356-76-0 price || 2915356-76-0 China || 2915356-76-0 India || 2915356-76-0 MSDS || 2915356-76-0 COA || CAS 2915356-76-0 || buy 2915356-76-0 || 2915356-76-0 offer || 2915356-76-0 seller || sell 2915356-76-0 || selling 2915356-76-0 || 2915356-76-0 factory || 2915356-76-0 factory || 2915356-76-0 data || China 2915356-76-0 || 2915356-76-0 export || 2915356-76-0 offer || 2915356-76-0 China supplier || 2915356-76-0 China Factory || 2915356-76-0 Chinese supplier || 2915356-76-0 Chinese factory || 2915356-76-0 Chinese manufactuer || 2915356-76-0 offer || 2915356-76-0 quotation || 2915356-76-0 production capacity || 2915356-76-0 CPHI || offer 2915356-76-0 || 2915356-76-0 supplying || 2915356-76-0 SDS || 2915356-76-0 COA || 2915356-76-0 packing || 2915356-76-0 picture || 替尔泊肽侧链 || Tirzepatide side Chain || Tirzepatide supplier || Tirzepatide offer || Tirzepatide price || Tirzepatide factory || Tirzepatide China || Tirzepatide India || GLP-1 drug || GLP-1 pharma || GLP-1 API
